Metoda geolistrik merupakan salah satu metoda eksplorasi geofisika yang dapat digunakan untuk mendeteksi dan memetakan keberadaan material di bawah permukaan berdasarkan distribusi parameter resistivitas atau tahanan jenis dari material-material yang terukur di bawah permukaan. Setiap lapisan batuan mempunyai nilai resistivitas yang berbeda-beda, sehingga Metode geolistrik resistivitas dapat digunakan untuk mendeteksi lapisan batubara, bijih besi, mangan, chrom, air, bahan galian C (andesit, endapan tras, pasir), pergerakan tanah / longsor, dan lain-lain.
Metode Geolistrik 1D disebut juga sounding 1D karena resolusi yang dihasilkan hanya bersifat vertikal. Pengukuran vertical sounding 1D bertujuan untuk mendapatkan variasi nilai resistivitas batuan secara vertikal. Pengukuran di sekitar titik sounding (titik injeksi arus) dilakukan secara berulang dengan memvariasikan jarak elektroda. Semakin panjang bentangan jarak elektroda, semakin dalam pula informasi lapisan batuan yang diperoleh. Dengan cara pengukuran ini, dapat diperoleh informasi kedalaman dan ketebalan suatu lapisan batuan secara lebih akurat. Gambar 1 dibawah ini memberikan ilustrasi teknik pengukuran vertical sounding menggunakan konfigurasi Schlumberger.
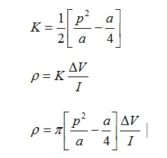
Pengukuran pertama dilakukan dengan membuat jarak spasi a. Dari pengukuran ini diperoleh satu titik pengukuran. Dalam hal ini faktor geometrinya dan resistivitasnya adalah :
Pengukuran kedua dilakukan dengan membuat jarak spasi antara C1 – P1 dan P2 – C2 menjadi 2a dan diperoleh titik pengukuran berikutnya Pengukuran terus dilakukan hingga area survey telah terlingkupi.
Metode Geolistrik 2D merupakan gabungan antara pengukuran mapping dengan sounding. Jika menggunakan metode 2D, maka informasi kedalaman, ketebalan, dan variasi resistivitas (batubara, mangan, chrom, andesit, dll) secara lateral dan vertikal dapat diketahui. Ilustrasi pengukuran geolistrik 2D ditunjukkan pada gambar 2.
Beberapa aplikasi geolistrik yang banyak digunakan adalah:
- Eksplorasi Batubara
- Eksplorasi Mineral
- Mangan
- Biji Besi
- Timah
- Nikel/Laterit
- Pasir besi
- Pencarian sumber air
- Geologi bawah permukaan
- Area Longsor
- Bedrock
- Ruang bawah tanah(ruang kosong)
- Eksplorasi Galian C
- Andesit dan Vulkanik
- Pasir
- Gamping
- Arkeologi


Tinggalkan komentar